
THUNDER BAY – Mining – Zenyatta Ventures Ltd. (“Zenyatta” or “Company”) (TSX VENTURE:ZEN)(OTCQX:ZENYF) is pleased to announce the following significant assay results from holes 11 – 15 drilled on the East Pipe of the 100% owned Albany (Hydrothermal) Graphite Deposit, located in northern Ontario, Canada.
Graphite mineralization in the East Pipe appears to consist of a higher grade core of graphitic breccia which is typically surrounded by a broad halo of graphite overprinted syenite. The following assay results from each hole show a higher grade core followed by wider zones which include graphite overprint mineralization. Drill hole 11, the deepest to date, was designed to test to a vertical depth of 500 metres (“m”) and yielded 84.9 m @ 5.2% graphitic carbon (“Cg”) from 460.6 m to 545.5 m within a broader intersection of 203.0 m of graphite mineralization averaging 3.0% Cg from 393.0 m to 596.0 m. The East Pipe is showing good vertical continuity and remains open at depth.
- Hole 12 yielded 146.0 m @ 5.2% Cg from 95.0 m – 241.0 m within a wider intersection of 195.0 m of graphite mineralization grading 4.0% Cg from 90.0 m to 285.0 m.
- Hole 13 yielded 177.0 m @ 5.3% Cg from 138.0 m – 315.0 m within a wider intersection of 219.9 m of graphite mineralization grading 4.5% Cg from 95.1 m to 315.0 m.
- Hole 14 yielded 186.0 m @ 4.9% Cg from 146.0 m – 332.0 m within a wider intersection of 426.0 m of graphite mineralization grading 3.0% Cg from 118.0 m to 544.0 m.
- Hole 15 yielded 125.0 m @ 4.6% Cg from 132.0 m – 257.0 m within a wider intersection of 300.0 m of graphite mineralization grading 2.2% Cg from 60.0 m to 360.0 m. (All lengths reported are drill intersected core lengths and do not represent true widths).
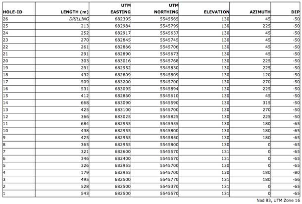
Ten (10) more holes have since been completed on the East Pipe, all of which yielded broad intervals of graphite mineralization from visual observations of drill core. Holes 11 – 15 were designed to start outside the limit of the indicated geophysical anomaly and angled to help define and confirm the overall geometry of the pipe-like body. Drill hole location data from all 25 holes drilled to date is provided in the table below.
Aubrey Eveleigh, President and CEO stated, “These latest results demonstrate excellent vertical continuity of the East Pipe and exceptional size potential of the Albany graphite deposit. Drill intercepts appear to be correlating extremely well with the shape of the ground geophysical conductors. The drill has now been mobilized to the West Pipe and hole 26 has commenced. The current campaign will continue there until sufficient drill holes have been completed, following which a NI 43-101 compliant resource estimate will be prepared by RPA for both the East and West pipes.”
Graphitic carbon analyses for drill holes 16 through 26 will be released once received. A plan map and drill hole table will also be placed on the website today. The following table shows data for all holes drilled to date on the Albany graphite deposit.


















